野村雅道の「ID為替分析」 nomura

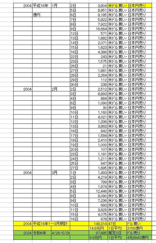
毎日が介入日。介入王国ジャパン(でも米国がよく相手をしてくれたものだ)

2025/11/23

> 今ならお肉かお米が貰える!?

> 今ならお肉かお米が貰える!?

この記事をシェアする

前の記事 次の記事

プロフィール

のむら・まさみち
野村雅道

個人投資家・FX湘南投資グループ代表
中京大学講師。1979年、東京大学教養学部卒。在学中は国際経済を研究しつつ野球部主将としても活躍。
法政大のエースだった元巨人の江川投手から3打数3安打した試合では敬遠を含む3四球も奪う。当時30年ぶりの4位躍進に貢献。
1979年、東京銀行(現三菱東京UFJ銀行)入行。NY支店に赴任後、伝説のディーラー・若林栄四氏の下で為替ディーラーとしてのスタートを切る。
1987年に米系銀行へ転出した後、欧州系銀行外国為替部市場部長などを経て現職
> 公式 X
> 公式 YouTube

ブログランキング

最新の記事

カテゴリー

  • カテゴリーなし

アーカイブス

無料会員募集中